Punjab University Date Sheet 2020 – BA BSC Part-I & Part-II
According to the details, Punjab University has recently announced the BA’s date sheet, BSC associate degree programs. The annual exams shall begin on 5th August 2020. Due to COVID-19, students do not need to visit university. The university authority has sent complete admission details through Email within 24 hours. Those who have not mentioned their email address on the Punjab University official website are advised to enter an accurate email address through the online portal.
See Also: FBISE 10th Class Date Sheet 2021
See Also: FBISE 9th Class Date Sheet 2021
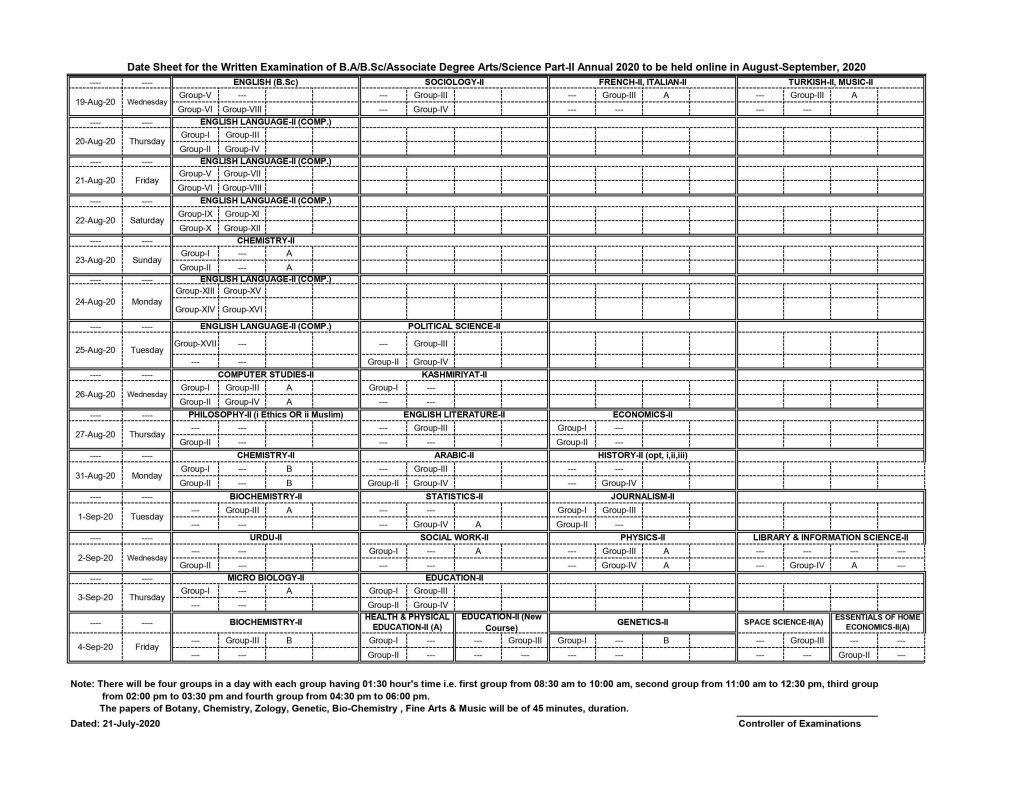
Punjab University PU BA BSC Date sheet 2020
Below is mentioned the complete date sheet of BA BSC.
| Date | Paper | |||
| 5-08-2020 | APPLIED PSYCHOLOGY-II | MATHEMATICS B COURSE-II | INTERNATIONAL RELATION-II | WOMEN’S STUDIES-II |
| 6-08-2020 | GERMAN-II | PUNJABI-II | ||
| 7-08-2020 | PERSIAN-II | PERSIAN-II (New Course) | BOTANY-II | |
| 8-08-2020 | GEOGRAPHY-II | GEOGRAPHY-II (New Course) | ISLAMIC STUDIES (OPTIONAL) | ARABIC (OPTIONAL) |
| 9-08-2020 | ZOOLOGY-II | |||
| 10-08-2020 | OPTIONAL | Persian (Optional) | GEOLOGY-II | |
| 11-08-2020 | Persian (Optional) | |||
| 12-08-2020 | Persian (Optional) | |||
| 13-08-2020 | FINE ARTS-II | MATHEMATICS A COURSE-II | MATHEMATICS GENERAL-II | |
| 15-08-2020 | GENETICS-II | ISLAMIC STUDIES-II | ||
| 16-08-2020 | BOTANY-II | |||
| 17-08-2020 | ZOOLOGY-II | ISLAMIC STUDIES-II | ||
| 18-08-2020 | ENGLISH (B.Sc.) | |||
| 19-08-2020 | ENGLISH (B.Sc) | SOCIOLOGY-II | FRENCH-II, ITALIAN | TURKISH-II, MUSIC |
| 20-08-2020 | ENGLISH LANGUAGE-II (COMP.) | |||
| 21-08-2020 | ENGLISH LANGUAGE-II (COMP.) | |||
| 22-08-2020 | ENGLISH LANGUAGE-II (COMP.) | |||
| 23-08-2020 | CHEMISTRY-II | |||
| 24-08-2020 | ENGLISH LANGUAGE-II (COMP.) | |||
| 25-08-2020 | ENGLISH LANGUAGE-II (COMP.) | POLITICAL SCIENCE-II | ||
| 26-08-2020 | COMPUTER STUDIES-II | KASHMIRIYAT-II | ||
| 27-08-2020 | PHILOSOPHY-II (i Ethics OR ii Muslim) | ENGLISH LITERATURE-II | ECONOMICS-II | |
| 31-08-2020 | CHEMISTRY-II | ARABIC-II | HISTORY-II (opt, i,ii,iii) | |
| 1-09-2020 | BIOCHEMISTRY-II | STATISTICS-II | JOURNALISM-II | |
| 2-09-2020 | URDU-II | SOCIAL WORK-II | PHYSICS-II | LIBRARY & INFORMATION SCIENCE-II |
| 3-09-2020 | MICRO BIOLOGY-II | EDUCATION-II | ||
| 4-09-2020 | BIOCHEMISTRY-II | HEALTH & PHYSICAL EDUCATION-II (A) | EDUCATION-II (New Course | GENETICS-II |



