Punjab Govt upgrades 1,227 elementary schools to a high level in the 36 districts of Punjab
The Punjab Government took the initiative to upgrade about 1,227 elementary schools in all 36 districts of Punjab in the first phase. The Education Minister, Murad Raas, said that this step was made for the prosperity and progress of Punjab and to provide quality education to the students.
- Murad Raas Stated that the decision to upgrade the elementary schools to the high level had saved a considerable amount of money about RS. 16 Billion. By telling further details, he said that 606 girls elementary schools and 621 boys elementary schools had been upgraded.
- About the teachers and classrooms in these schools, he said that the present teaching staff would serve in the same school without being transferred, and 3,315 more teachers and 3,933 additional classrooms will provide for the secondary classes.
- Murad Raas said that it has also decided to construct 2000 new classrooms, out of which 1000 classrooms’ construction had completed.
- Further Education Minister Said that due to this revolutionary initiative of upgrading the schools, more than 100,000 students would get benefits.
- He also said that in the second phase, those high schools which meet the criteria would lead to higher secondary schools.
36 Districts of Punjab:
- Attock
- Bahawalnagar
- Bahawalpur
- Bhakkar
- Chakwal
- Chiniot
- G. Khan
- Faisalabad
- Gujranwala
- Gujrat
- Hafizabad
- Jhang
- Jhelum
- Kasur
- Khanewal
- Khushab
- Lahore
- Layyah
- Lodhran
- Mandi Baha Ud Din
- Mianwali
- Multan
- Muzaffargarh
- Nankana Sahib
- Narowal
- Okara
- Pakpattan
- Rahimyar Khan
- Rajanpur
- Rawalpindi
- Sahiwal
- Sargodha
- Sheikupura
- Sialkot
- T.Singh
- Vehari
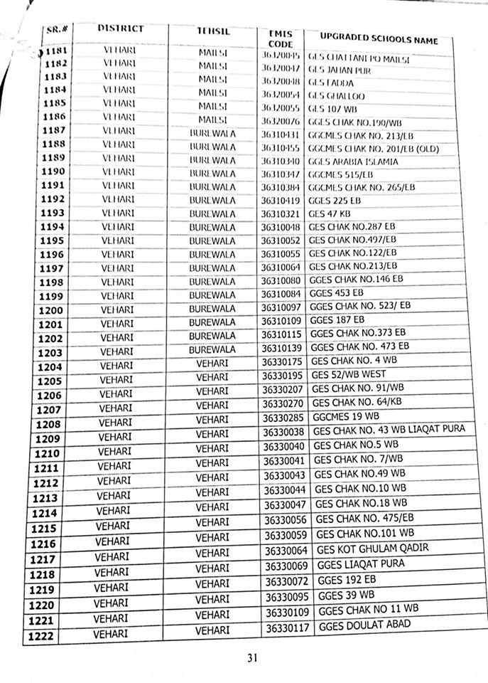
List of Upgraded Elementary Schools to a High Level:
here are complete 1227 upgraded elementary schools in Punjab district wise.

































1 Comment
Good